Singh Overseas Custom Clearance Agents Custom Clearing House
Freight Forwarders
Import Export Agents
  • Sea Freight Custom Clearance
  • Air Freight Clearance
  • Logistic Services
Custom Brokers
Home About Us Our Services Special Cargo Service Downloads Send Enquiry Contact Us Get a Quote
 
Containers Service
 
Air Shipment Service
 

DOWNLOADS

 
Particulars Download Links
APPENDIX 18 A
( FORMAT OF BANK CERTIFICATE FOR ISSUE OF IEC )
Click here to Download
Customer Information Sheet Click here to Download
FORM SDF Click here to Download
FORM 'A' ( Authorisation to Sign Customs Documents ) Click here to Download
Format for Invoice & Packing List Click here to Download
Check List IEC Click here to Download
AD Code Certificate Format Click here to Download
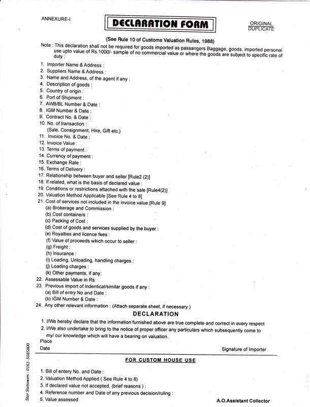
Declaration Form Click here to Download
Declaration Click here to Download
Drawback Declaration Click here to Download
Drawback Click here to Download
Export Value Declaration Click here to Download
   
   
 
 
 
 
 
 

We provide clearance of FCL & LCL & AIR Shipments to our customers from Nhava Sheva Mumbai,
ICD Ludhiana, ICD TKD Delhi & AMRITSAR AIRPORT.

 
 
 

© Copyright. SINGH OVERSEAS  All rights reserved.   Best view 1024 x  768

website developed & promoted by KING IT SOLUTIONS